KEGG   REACTION: R09642
Entry
R09642                      Reaction                               
Name
UDP-D-xylose:3-O-alpha-D-mannopyranosyl-alpha-D-mannopyranose xylosylphosphotransferase
Definition
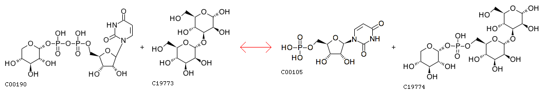
UDP-D-xylose + 3-O-alpha-D-Mannopyranosyl-alpha-D-mannopyranose <=> UMP + 3-O-(6-O-alpha-D-Xylosylphospho-alpha-D-mannopyranosyl)-alpha-D-mannopyranose
Equation
Reaction class
RC00002  C00105_C00190
RC00017  C19773_C19774
Enzyme
Brite
Enzymatic reactions [BR:br08201]
 2. Transferase reactions
  2.7  Transferring phosphorus-containing groups
   2.7.8  Transferases for other substituted phosphate groups
    2.7.8.32
     R09642  UDP-D-xylose + 3-O-alpha-D-Mannopyranosyl-alpha-D-mannopyranose <=> UMP + 3-O-(6-O-alpha-D-Xylosylphospho-alpha-D-mannopyranosyl)-alpha-D-mannopyranose
Glycosyltransferase reactions [br08203.html]
 Xylosyltransferase reactions
  R09642
Other DBs
RHEA: 28265
LinkDB

DBGET integrated database retrieval system