KEGG   REACTION: R09664
Entry
R09664                      Reaction                               
Name
alpha-D-glucosyl-3-phospho-D-glycerate phosphohydrolase
Definition
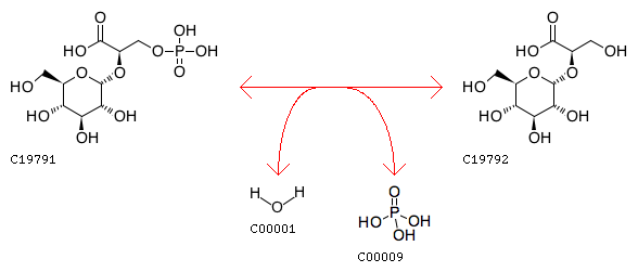
2-O-(alpha-D-Glucopyranosyl)-3-phospho-D-glycerate + H2O <=> 2-O-(alpha-D-Glucopyranosyl)-D-glycerate + Orthophosphate
Equation
Reaction class
RC00017  C19791_C19792
Enzyme
Brite
Enzymatic reactions [BR:br08201]
 3. Hydrolase reactions
  3.1  Acting on ester bonds
   3.1.3  Phosphoric-monoester hydrolases
    3.1.3.85
     R09664  2-O-(alpha-D-Glucopyranosyl)-3-phospho-D-glycerate + H2O <=> 2-O-(alpha-D-Glucopyranosyl)-D-glycerate + Orthophosphate
Other DBs
RHEA: 31346
LinkDB

DBGET integrated database retrieval system