KEGG   REACTION: R09712
Entry
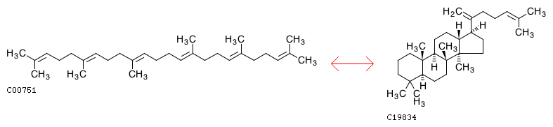
R09712                      Reaction                               
Name
squalene mutase (cyclizing, dammara-20,24-diene-forming)
Definition
Squalene <=> Dammara-20,24-diene
Equation
Reaction class
RC02621  C00751_C19834
Enzyme
Pathway
rn00909  Sesquiterpenoid and triterpenoid biosynthesis
Brite
Enzymatic reactions [BR:br08201]
 5. Isomerase reactions
  5.4  Intramolecular transferases
   5.4.99  Transferring other groups
    5.4.99.37
     R09712  Squalene <=> Dammara-20,24-diene
Orthology
K15810  dammaradiene synthase [EC:5.4.99.37]
Other DBs
RHEA: 31026
LinkDB

DBGET integrated database retrieval system