KEGG   REACTION: R09724
Entry
R09724                      Reaction                               
Name
trans-permethrin acylhydrolase
Definition
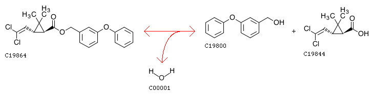
trans-Permethrin + H2O <=> (3-Phenoxyphenyl)methanol + (1S,3R)-3-(2,2-Dichloroethenyl)-2,2-dimethylcyclopropanecarboxylate
Equation
Comment
pyrethroid-ester hydrolase
Reaction class
RC00020  C19844_C19864
RC00041  C19800_C19864
Enzyme
Brite
Enzymatic reactions [BR:br08201]
 3. Hydrolase reactions
  3.1  Acting on ester bonds
   3.1.1  Carboxylic-ester hydrolases
    3.1.1.88
     R09724  trans-Permethrin + H2O <=> (3-Phenoxyphenyl)methanol + (1S,3R)-3-(2,2-Dichloroethenyl)-2,2-dimethylcyclopropanecarboxylate
Other DBs
RHEA: 30286
LinkDB

DBGET integrated database retrieval system