KEGG   REACTION: R09743
Entry
R09743                      Reaction                               
Name
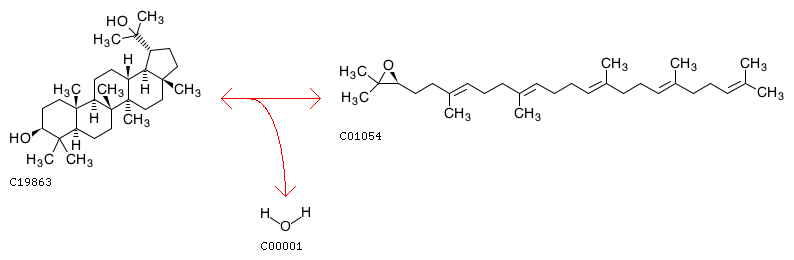
(3S)-2,3-epoxy-2,3-dihydrosqualene hydro-lyase (lupan-3beta,20-diol forming)
Definition
Lupan-3beta,20-diol <=> (S)-2,3-Epoxysqualene + H2O
Equation
Reaction class
RC02627  C01054_C19863
Enzyme
Pathway
rn00909  Sesquiterpenoid and triterpenoid biosynthesis
Brite
Enzymatic reactions [BR:br08201]
 4. Lyase reactions
  4.2  Carbon-oxygen lyases
   4.2.1  Hydro-lyases
    4.2.1.128
     R09743  Lupan-3beta,20-diol <=> (S)-2,3-Epoxysqualene + H2O
Orthology
K15816  lupeol synthase 1 [EC:4.2.1.128 5.4.99.41]
Other DBs
RHEA: 31354
LinkDB

DBGET integrated database retrieval system