KEGG   REACTION: R09760
Entry
R09760                      Reaction                               
Name
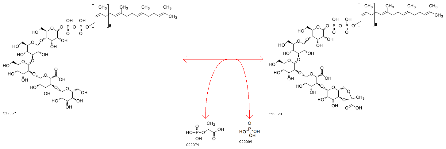
phosphoenolpyruvate:D-Man-beta-(1->4)-GlcA-beta-(1->2)-D-Man-alpha-(1->3)-D-Glc-beta-(1->4)-D-Glc-alpha-1-diphospho-ditrans,octacis-undecaprenol 4,6-O-(1-carboxyethan-1,1-diyl)transferase
Definition
Phosphoenolpyruvate + D-Man-beta-(1->4)-GlcA-beta-(1->2)-D-Man-alpha-(1->3)-D-Glc-beta-(1->4)-D-Glc-alpha-1-diphospho-ditrans,octacis-undecaprenol <=> 4,6-CH3(COO-)C-D-Man-beta-(1->4)-D-GlcA-beta-(1->2)-D-Man-alpha-(1->3)-D-Glc-beta-(1->4)-D-Glc-alpha-1-diphospho-ditrans,octacis-undecaprenol + Orthophosphate
Equation
Reaction class
RC02630  C19857_C19870
Enzyme
Brite
Enzymatic reactions [BR:br08201]
 2. Transferase reactions
  2.5  Transferring alkyl or aryl groups, other than methyl groups
   2.5.1  Transferring alkyl or aryl groups, other than methyl groups (only sub-subclass identified to date)
    2.5.1.95
     R09760  Phosphoenolpyruvate + D-Man-beta-(1->4)-GlcA-beta-(1->2)-D-Man-alpha-(1->3)-D-Glc-beta-(1->4)-D-Glc-alpha-1-diphospho-ditrans,octacis-undecaprenol <=> 4,6-CH3(COO-)C-D-Man-beta-(1->4)-D-GlcA-beta-(1->2)-D-Man-alpha-(1->3)-D-Glc-beta-(1->4)-D-Glc-alpha-1-diphospho-ditrans,octacis-undecaprenol + Orthophosphate
Other DBs
RHEA: 31506
LinkDB

DBGET integrated database retrieval system