KEGG   REACTION: R09882
Entry
R09882                      Reaction                               
Name
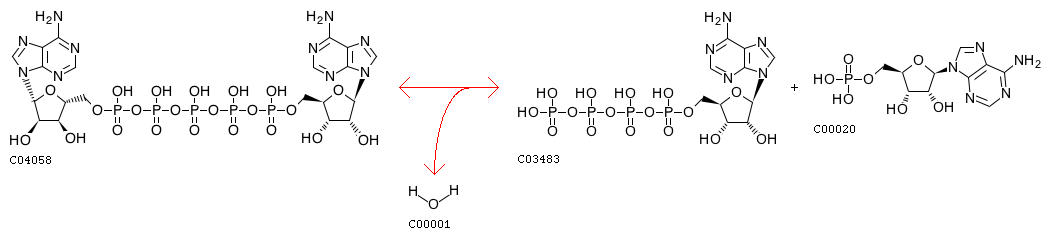
P1,P5-bis(5'-adenosyl)pentaphosphate nucleotidohydrolase (AMP-forming)
Definition
Bis(5'-adenosyl) pentaphosphate + H2O <=> Adenosine tetraphosphate + AMP
Equation
Reaction class
RC00002  C00020_C04058  C03483_C04058
Enzyme
Brite
Enzymatic reactions [BR:br08201]
 3. Hydrolase reactions
  3.6  Acting on acid anhydrides
   3.6.1  In phosphorus-containing anhydrides
    3.6.1.60
     R09882  Bis(5'-adenosyl) pentaphosphate + H2O <=> Adenosine tetraphosphate + AMP
Other DBs
RHEA: 32054
LinkDB

DBGET integrated database retrieval system