KEGG   REACTION: R09911
Entry
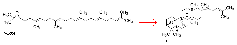
R09911                      Reaction                               
Name
(3S)-2,3-epoxy-2,3-dihydrosqualene mutase (cyclizing, baccharis-oxide-forming)
Definition
(S)-2,3-Epoxysqualene <=> Baccharis oxide
Equation
Reaction class
RC02716  C01054_C20189
Enzyme
Brite
Enzymatic reactions [BR:br08201]
 5. Isomerase reactions
  5.4  Intramolecular transferases
   5.4.99  Transferring other groups
    5.4.99.51
     R09911  (S)-2,3-Epoxysqualene <=> Baccharis oxide
Other DBs
RHEA: 31870
LinkDB

DBGET integrated database retrieval system