KEGG   REACTION: R09935
Entry
R09935                      Reaction                               
Name
(+)-sabinene,NADPH:oxygen oxidoreductase (3-hydroxylating)
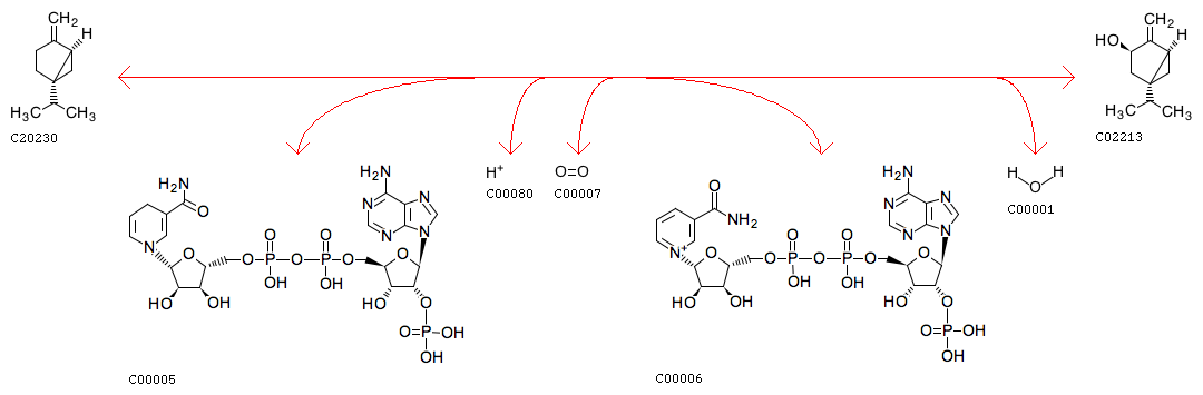
Definition
(+)-Sabinene + NADPH + H+ + Oxygen <=> (+)-cis-Sabinol + NADP+ + H2O
Equation
Reaction class
RC00001  C00005_C00006
RC00723  C02213_C20230
Enzyme
Brite
Enzymatic reactions [BR:br08201]
 1. Oxidoreductase reactions
  1.14  Acting on paired donors, with incorporation or reduction of molecular oxygen
   1.14.13  With NADH or NADPH as one donor, and incorporation of one atom of oxygen into the other donor
    1.14.13.153
     R09935  (+)-Sabinene + NADPH + H+ + Oxygen <=> (+)-cis-Sabinol + NADP+ + H2O
LinkDB

DBGET integrated database retrieval system