| Entry |
|
| Name |
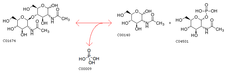
N,N'-diacetylchitobiose:phosphate N-acetyl-D-glucosaminyltransferase
|
| Definition |
Chitobiose + Orthophosphate <=> N-Acetyl-D-glucosamine + N-Acetyl-alpha-D-glucosamine 1-phosphate
|
| Equation |
|
|
 |
| Reaction class |
|
| Enzyme |
|
| Pathway |
| rn00520 | Amino sugar and nucleotide sugar metabolism |
|
| Brite |
Enzymatic reactions [BR:br08201]
2. Transferase reactions
2.4 Glycosyltransferases
2.4.1 Hexosyltransferases
2.4.1.280
R09942 Chitobiose + Orthophosphate <=> N-Acetyl-D-glucosamine + N-Acetyl-alpha-D-glucosamine 1-phosphate
|
| Orthology |
|
| Other DBs |
|
| LinkDB |
|