KEGG   REACTION: R10006
Entry
R10006                      Reaction                               
Name
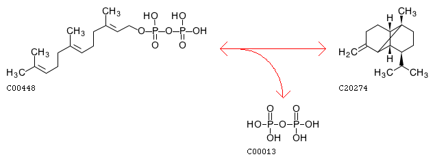
(2E,6E)-farnesyl-diphosphate diphosphate-lyase (cyclizing, beta-copaene-forming)
Definition
trans,trans-Farnesyl diphosphate <=> beta-Copaene + Diphosphate
Equation
Reaction class
RC02991  C00448_C20274
Enzyme
Brite
Enzymatic reactions [BR:br08201]
 4. Lyase reactions
  4.2  Carbon-oxygen lyases
   4.2.3  Acting on phosphates
    4.2.3.127
     R10006  trans,trans-Farnesyl diphosphate <=> beta-Copaene + Diphosphate
Other DBs
RHEA: 33114
LinkDB

DBGET integrated database retrieval system