REACTION: R10038
Help
Entry
R10038 Reaction
Definition
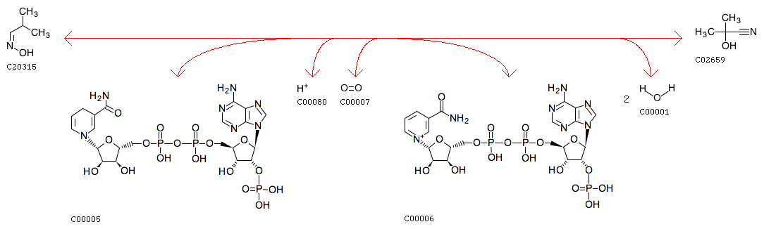
(Z)-2-Methylpropanal oxime + NADPH + H+ + Oxygen <=> Acetone cyanohydrin + NADP+ + 2 H2O
Equation
C20315
+
C00005
+
C00080
+
C00007
<=>
C02659
+
C00006
+ 2
C00001
Comment
CYP736A2
Reaction class
RC00001
C00005_C00006
RC03032
C02659_C20315
Pathway
rn00460
Cyanoamino acid metabolism
rn01110
Biosynthesis of secondary metabolites
LinkDB
All DBs
DBGET
integrated database retrieval system