KEGG   REACTION: R10097
Entry
R10097                      Reaction                               
Definition
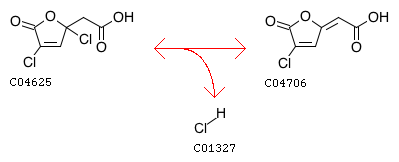
2,4-Dichloro-2,5-dihydro-5-oxofuran-2-acetate <=> cis-2-Chloro-4-carboxymethylenebut-2-en-1,4-olide + Hydrochloric acid
Equation
Comment
spontaneous (following R04345)
Reaction class
RC01167  C04625_C04706
LinkDB

DBGET integrated database retrieval system