KEGG   REACTION: R10209
Entry
R10209                      Reaction                               
Name
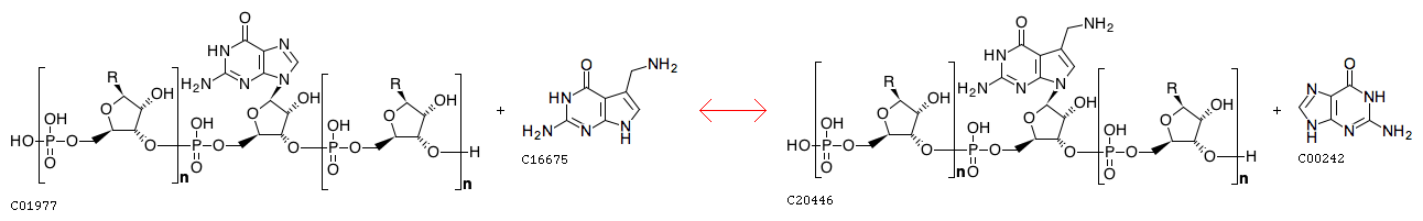
tRNA-guanosine34:7-aminomethyl-7-carbaguanine tRNA-D-ribosyltransferase
Definition
tRNA guanine + 7-Aminomethyl-7-carbaguanine <=> tRNA 7-aminomethyl-7-carbaguanine + Guanine
Equation
Reaction class
RC00063  C00242_C01977  C16675_C20446
Enzyme
Brite
Enzymatic reactions [BR:br08201]
 2. Transferase reactions
  2.4  Glycosyltransferases
   2.4.2  Pentosyltransferases
    2.4.2.29
     R10209  tRNA guanine + 7-Aminomethyl-7-carbaguanine <=> tRNA 7-aminomethyl-7-carbaguanine + Guanine
Orthology
K00773  queuine tRNA-ribosyltransferase [EC:2.4.2.29]
Other DBs
RHEA: 24107
LinkDB

DBGET integrated database retrieval system