| Entry |  | 
|---|
| Name | 4-coumaroyl-CoA:malonyl-CoA 4-coumaryltransferase (bisdemethoxycurcumin-forming)
 | 
|---|
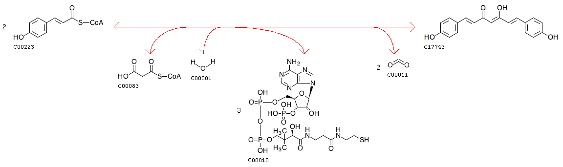
| Definition | 2 p-Coumaroyl-CoA + Malonyl-CoA + H2O <=> 3 CoA + Bisdemethoxycurcumin + 2 CO2
 | 
|---|
| Equation |  | 
|---|
|  |  | 
|---|
| Comment |  | 
|---|
| Reaction class | | RC00004 | C00010_C00083  C00010_C00223 | 
 | 
|---|
| Enzyme |  | 
|---|
| Pathway | | rn00945 | Stilbenoid, diarylheptanoid and gingerol biosynthesis | 
 | rn01110 | Biosynthesis of secondary metabolites | 
 | 
|---|
| Brite | Enzymatic reactions [BR:br08201]2. Transferase reactions
 2.3  Acyltransferases
 2.3.1  Transferring groups other than aminoacyl groups
 2.3.1.211
 R10233  2 p-Coumaroyl-CoA + Malonyl-CoA + H2O <=> 3 CoA + Bisdemethoxycurcumin + 2 CO2
 
 | 
|---|
| Orthology |  | 
|---|
| Other DBs |  | 
|---|
| LinkDB |  | 
|---|