REACTION: R10234
Help
Entry
R10234 Reaction
Name
4-coumaroyl-CoA:malonyl-CoA 4-coumaryltransferase (4-hydroxybenzalacetone-forming)
Definition
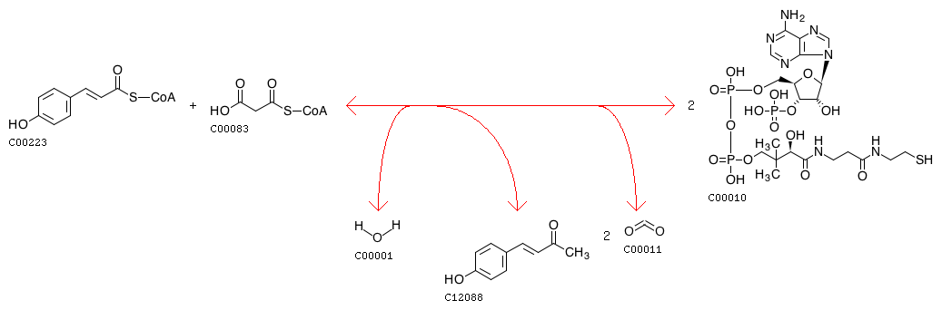
p-Coumaroyl-CoA + Malonyl-CoA + H2O <=> 2 CoA + 4-Hydroxycinnamoylmethane + 2 CO2
Equation
C00223
+
C00083
+
C00001
<=> 2
C00010
+
C12088
+ 2
C00011
Reaction class
RC00004
C00010_C00083 C00010_C00223
Enzyme
2.3.1.212
Brite
Enzymatic reactions [BR:
br08201
]
2. Transferase reactions
2.3 Acyltransferases
2.3.1 Transferring groups other than aminoacyl groups
2.3.1.212
R10234 p-Coumaroyl-CoA + Malonyl-CoA + H2O <=> 2 CoA + 4-Hydroxycinnamoylmethane + 2 CO2
BRITE hierarchy
Other DBs
RHEA:
34486
LinkDB
All DBs
DBGET
integrated database retrieval system