KEGG   REACTION: R10350
Entry
R10350                      Reaction                               
Name
3-geranylgeranylindole,NADPH:oxygen oxidoreductase (10,11-epoxidizing)
Definition
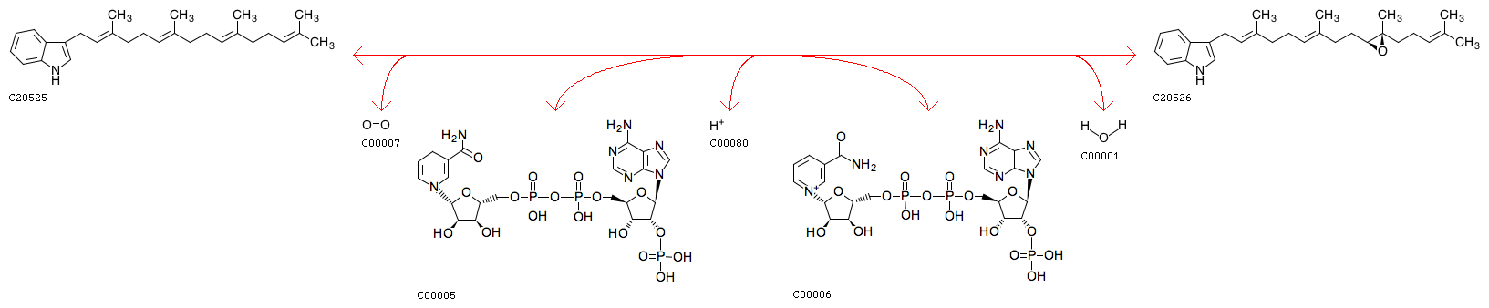
3-Geranylgeranylindole + Oxygen + NADPH + H+ <=> 10,11-Epoxy-3-geranylgeranylindole + NADP+ + H2O
Equation
Reaction class
RC00001  C00005_C00006
RC03133  C20525_C20526
Enzyme
1.14.13.-
Pathway
rn00403  Indole diterpene alkaloid biosynthesis
rn01100  Metabolic pathways
rn01110  Biosynthesis of secondary metabolites
Module
M00661  Paspaline biosynthesis, geranylgeranyl-PP + indoleglycerol phosphate => paspaline
Brite
Enzymatic reactions [BR:br08201]
 1. Oxidoreductase reactions
  1.14  Acting on paired donors, with incorporation or reduction of molecular oxygen
   1.14.13  With NADH or NADPH as one donor, and incorporation of one atom of oxygen into the other donor
    1.14.13.-
     R10350  3-Geranylgeranylindole + Oxygen + NADPH + H+ <=> 10,11-Epoxy-3-geranylgeranylindole + NADP+ + H2O
Orthology
K18386  FAD dependent monooxygenase [EC:1.14.13.-]
LinkDB

DBGET integrated database retrieval system