| Entry |
|
| Definition |
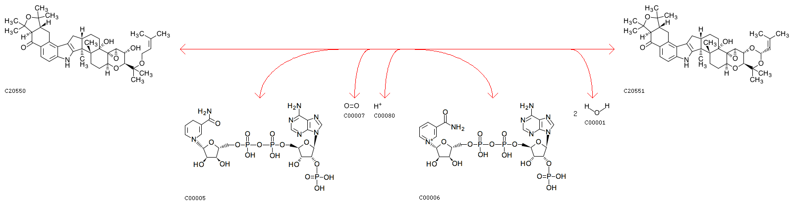
Lolitrem E + NADPH + Oxygen + H+ <=> Lolitrem B + NADP+ + 2 H2O
|
| Equation |
|
|
 |
| Comment |
cytochrome P450 monooxygenase, LtmK
|
| Reaction class |
|
| Enzyme |
1.14.21.-
|
| Pathway |
| rn00403 | Indole diterpene alkaloid biosynthesis |
| rn01110 | Biosynthesis of secondary metabolites |
|
| Brite |
Enzymatic reactions [BR:br08201]
1. Oxidoreductase reactions
1.14 Acting on paired donors, with incorporation or reduction of molecular oxygen
1.14.21
1.14.21.-
R10368 Lolitrem E + NADPH + Oxygen + H+ <=> Lolitrem B + NADP+ + 2 H2O
|
| Orthology |
| K18397 | cytochrome P450 monooxygenase [EC:1.14.21.-] |
|
| LinkDB |
|