REACTION: R10417
Help
Entry
R10417 Reaction
Name
kanamycin-A:NADP+ oxidoreductase
Definition
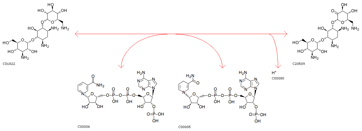
Kanamycin A + NADP+ <=> 2'-Dehydrokanamycin A + NADPH + H+
Equation
C01822
+
C00006
<=>
C20509
+
C00005
+
C00080
Reaction class
RC00001
C00005_C00006
RC00182
C01822_C20509
Enzyme
1.1.1.355
Pathway
rn00524
Neomycin, kanamycin and gentamicin biosynthesis
rn01110
Biosynthesis of secondary metabolites
Brite
Enzymatic reactions [BR:
br08201
]
1. Oxidoreductase reactions
1.1 Acting on the CH-OH group of donors
1.1.1 With NAD+ or NADP+ as acceptor
1.1.1.355
R10417 Kanamycin A + NADP+ <=> 2'-Dehydrokanamycin A + NADPH + H+
BRITE hierarchy
Orthology
K20152
2'-dehydrokanamycin reductase [EC:
1.1.1.355
]
Other DBs
RHEA:
35838
LinkDB
All DBs
DBGET
integrated database retrieval system