KEGG   REACTION: R10436
Entry
R10436                      Reaction                               
Name
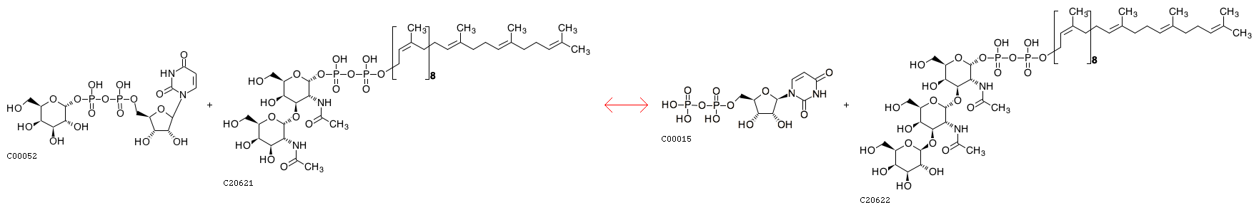
UDP-alpha-D-galactose:alpha-D-GalNAc-(1->3)-alpha-D-GalNAc-diphospho-ditrans,octacis-undecaprenol beta-1,3-galactosyltransferase
Definition
UDP-alpha-D-galactose + alpha-D-GalNAc-(1->3)-alpha-D-GalNAc-diphospho-ditrans,octacis-undecaprenol <=> UDP + beta-D-Gal-(1->3)-alpha-D-GalNAc-(1->3)-alpha-D-GalNAc-diphospho-ditrans,octacis-undecaprenol
Equation
Reaction class
RC00005  C00015_C00052
RC00049  C20621_C20622
Enzyme
Brite
Enzymatic reactions [BR:br08201]
 2. Transferase reactions
  2.4  Glycosyltransferases
   2.4.1  Hexosyltransferases
    2.4.1.122
     R10436  UDP-alpha-D-galactose + alpha-D-GalNAc-(1->3)-alpha-D-GalNAc-diphospho-ditrans,octacis-undecaprenol <=> UDP + beta-D-Gal-(1->3)-alpha-D-GalNAc-(1->3)-alpha-D-GalNAc-diphospho-ditrans,octacis-undecaprenol
Glycosyltransferase reactions [br08203.html]
 Galactosyltransferase reactions
  R10436
Other DBs
RHEA: 36766
LinkDB

DBGET integrated database retrieval system