REACTION: R10476
Help
Entry
R10476 Reaction
Definition
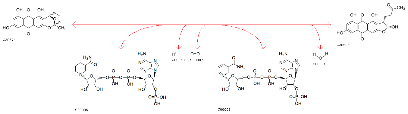
(1'S,5'S)-Averufin + NADPH + H+ + Oxygen <=> 1'-Hydroxyversicolorone + NADP+ + H2O
Equation
C20574
+
C00005
+
C00080
+
C00007
<=>
C20503
+
C00006
+
C00001
Comment
averufin monooxygenase
Reaction class
RC00001
C00005_C00006
RC03158
C20503_C20574
Pathway
rn00254
Aflatoxin biosynthesis
rn01100
Metabolic pathways
rn01110
Biosynthesis of secondary metabolites
Module
M00937
Aflatoxin biosynthesis, malonyl-CoA => aflatoxin B1
Orthology
K24440
averufin monooxygenase [EC:1.14.-.-]
LinkDB
All DBs
DBGET
integrated database retrieval system