KEGG   REACTION: R10530
Entry
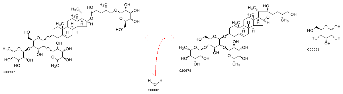
R10530                      Reaction                               
Name
protodioscin glucohydrolase
Definition
Protodioscin + H2O <=> 26-Deglucoprotodioscin + D-Glucose
Equation
Reaction class
RC00059  C08907_C20678
RC00451  C00031_C08907
Enzyme
Brite
Enzymatic reactions [BR:br08201]
 3. Hydrolase reactions
  3.2  Glycosylases
   3.2.1  Glycosidases, i.e. enzymes that hydrolyse O- and S-glycosyl compounds
    3.2.1.186
     R10530  Protodioscin + H2O <=> 26-Deglucoprotodioscin + D-Glucose
Other DBs
RHEA: 37898
LinkDB

DBGET integrated database retrieval system