KEGG   REACTION: R10733
Entry
R10733                      Reaction                               
Name
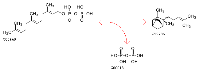
(2E,6E)-farnesyl diphosphate lyase (cyclizing, (+)-alpha-santalene-forming)
Definition
trans,trans-Farnesyl diphosphate <=> (+)-alpha-Santalene + Diphosphate
Equation
Reaction class
RC02578  C00448_C19736
Enzyme
Brite
Enzymatic reactions [BR:br08201]
 4. Lyase reactions
  4.2  Carbon-oxygen lyases
   4.2.3  Acting on phosphates
    4.2.3.82
     R10733  trans,trans-Farnesyl diphosphate <=> (+)-alpha-Santalene + Diphosphate
Other DBs
RHEA: 31438
LinkDB

DBGET integrated database retrieval system