KEGG   REACTION: R10734
Entry
R10734                      Reaction                               
Name
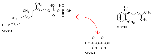
(2E,6E)-farnesyl diphosphate lyase (cyclizing, (-)-beta-santalene-forming)
Definition
trans,trans-Farnesyl diphosphate <=> beta-Santalene + Diphosphate
Equation
Reaction class
RC03263  C00448_C09718
Enzyme
Brite
Enzymatic reactions [BR:br08201]
 4. Lyase reactions
  4.2  Carbon-oxygen lyases
   4.2.3  Acting on phosphates
    4.2.3.83
     R10734  trans,trans-Farnesyl diphosphate <=> beta-Santalene + Diphosphate
Other DBs
RHEA: 31434
LinkDB

DBGET integrated database retrieval system