KEGG   REACTION: R10803
Entry
R10803                      Reaction                               
Name
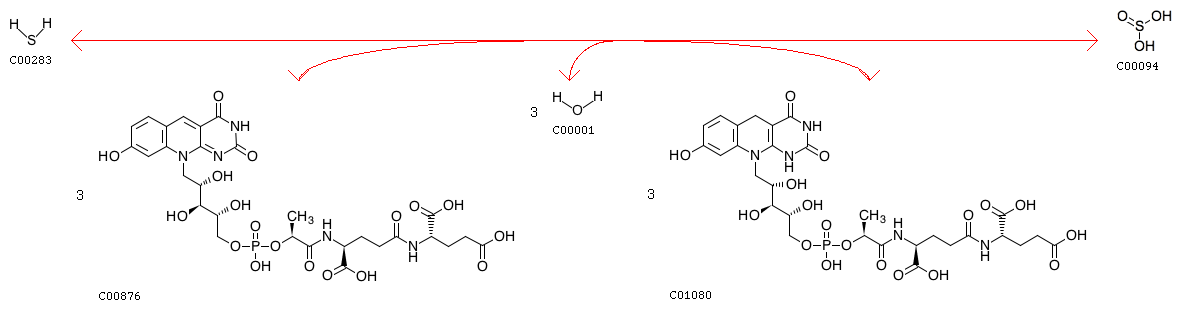
hydrogen sulfide:coenzyme F420 oxidoreductase
Definition
Hydrogen sulfide + 3 Coenzyme F420 + 3 H2O <=> Sulfite + 3 Reduced coenzyme F420
Equation
C00283 + 3 C00876 + 3 C00001 <=> C00094 + 3 C01080
Reaction class
RC00065  C00094_C00283
RC02628  C00876_C01080
Enzyme
Brite
Enzymatic reactions [BR:br08201]
 1. Oxidoreductase reactions
  1.8  Acting on a sulfur group of donors
   1.8.98  With other, known, physiological acceptors
    1.8.98.3
     R10803  Hydrogen sulfide + 3 Coenzyme F420 + 3 H2O <=> Sulfite + 3 Reduced coenzyme F420
Other DBs
RHEA: 42811
LinkDB

DBGET integrated database retrieval system