KEGG   REACTION: R11094
Entry
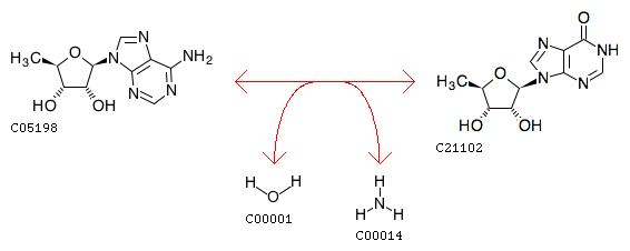
R11094                      Reaction                               
Name
5'-deoxyadenosine aminohydrolase
Definition
5'-Deoxyadenosine + H2O <=> 5'-Deoxyinosine + Ammonia
Equation
Reaction class
RC00477  C05198_C21102
Enzyme
Brite
Enzymatic reactions [BR:br08201]
 3. Hydrolase reactions
  3.5  Acting on carbon-nitrogen bonds, other than peptide bonds
   3.5.4  In cyclic amidines
    3.5.4.41
     R11094  5'-Deoxyadenosine + H2O <=> 5'-Deoxyinosine + Ammonia
Other DBs
RHEA: 42895
LinkDB

DBGET integrated database retrieval system