KEGG   REACTION: R11097
Entry
R11097                      Reaction                               
Name
24-epi-campesterol,NADPH:oxygen oxidoreductase (22,23-dehydrogenating)
Definition
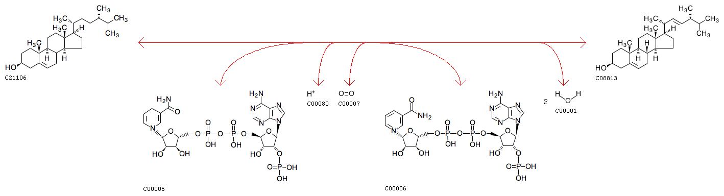
24-epi-Campesterol + NADPH + H+ + Oxygen <=> Brassicasterol + NADP+ + 2 H2O
Equation
Comment
CYP710A2
Reaction class
RC00001  C00005_C00006
RC01886  C08813_C21106
Enzyme
Pathway
rn00100  Steroid biosynthesis
rn01100  Metabolic pathways
rn01110  Biosynthesis of secondary metabolites
Brite
Enzymatic reactions [BR:br08201]
 1. Oxidoreductase reactions
  1.14  Acting on paired donors, with incorporation or reduction of molecular oxygen
   1.14.19  With oxidation of a pair of donors resulting in the reduction of O2 to two molecules of water
    1.14.19.41
     R11097  24-epi-Campesterol + NADPH + H+ + Oxygen <=> Brassicasterol + NADP+ + 2 H2O
Orthology
K09832  sterol 22-desaturase [EC:1.14.19.41]
LinkDB

DBGET integrated database retrieval system