KEGG   REACTION: R11113
Entry
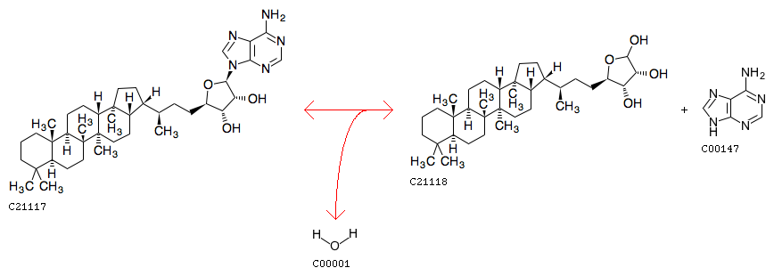
R11113                      Reaction                               
Definition
Adenosylhopane + H2O <=> Ribosylhopane + Adenine
Equation
LinkDB

DBGET integrated database retrieval system