KEGG   REACTION: R11249
Entry
R11249                      Reaction                               
Definition
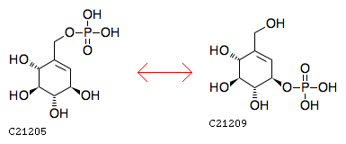
1-epi-Valienol 7-phosphate <=> 1-epi-Valienol 1-phosphate
Equation
Comment
unclear reaction
Reaction class
RC00408  C21205_C21209
Pathway
rn00525  Acarbose and validamycin biosynthesis
rn01110  Biosynthesis of secondary metabolites
Orthology
K20439  putative phosphohexomutase / phosphatase
Reference
1  [PMID:18648803]
  Authors
Choi WS, Wu X, Choeng YH, Mahmud T, Jeong BC, Lee SH, Chang YK, Kim CJ, Hong SK
  Title
Genetic organization of the putative salbostatin biosynthetic gene cluster including the 2-epi-5-epi-valiolone synthase gene in Streptomyces albus ATCC 21838.
  Journal
Appl Microbiol Biotechnol 80:637-45 (2008)
DOI:10.1007/s00253-008-1591-2
LinkDB

DBGET integrated database retrieval system