KEGG   REACTION: R11266
Entry
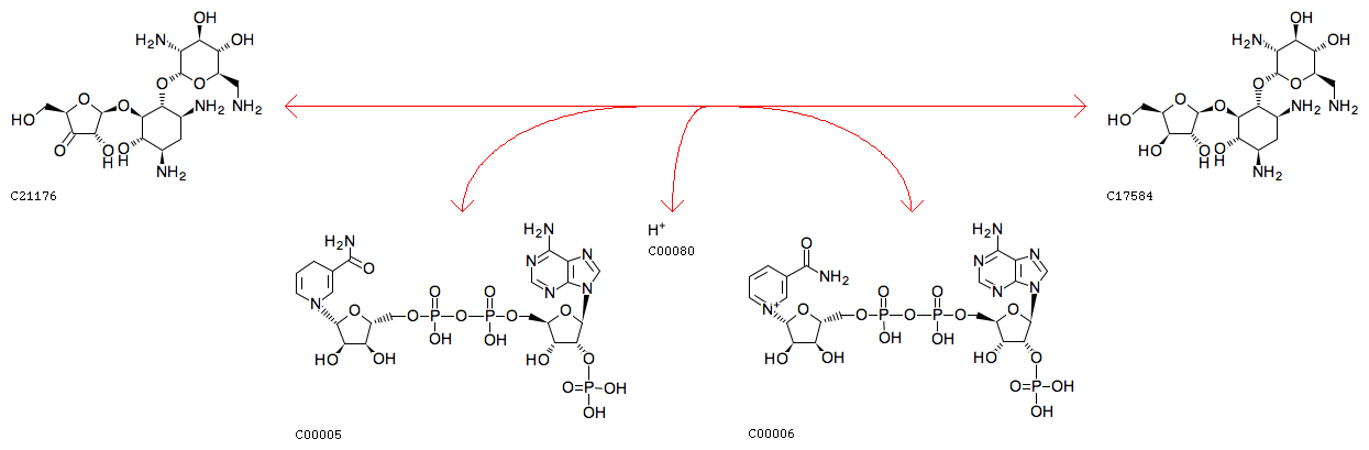
R11266                      Reaction                               
Name
xylostasin:NADP+ 3''-oxidoreductase
Definition
3''-Oxoribostamycin + NADPH + H+ <=> Xylostasin + NADP+
Equation
Reaction class
RC00182  C17584_C21176
Enzyme
1.1.1.-
Pathway
rn00524  Neomycin, kanamycin and gentamicin biosynthesis
rn01110  Biosynthesis of secondary metabolites
Brite
Enzymatic reactions [BR:br08201]
 1. Oxidoreductase reactions
  1.1  Acting on the CH-OH group of donors
   1.1.1  With NAD+ or NADP+ as acceptor
    1.1.1.-
     R11266  3''-Oxoribostamycin + NADPH + H+ <=> Xylostasin + NADP+
Orthology
K20570  NADPH-dependent reductase [EC:1.1.1.-]
LinkDB

DBGET integrated database retrieval system