| Entry |
|
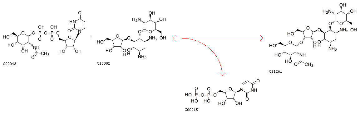
| Name |
UDP-N-acetyl-alpha-D-glucosamine:5-ribosylparomamine N-acetyl-D-glucosaminyltransferase
|
| Definition |
UDP-N-acetyl-alpha-D-glucosamine + 5-Ribosylparomamine <=> UDP + 2'''-N-Acetyl-6'''-deamino-6'''-hydroxyparomomycin II
|
| Equation |
|
|
 |
| Comment |
deduced reaction
|
| Reaction class |
|
| Enzyme |
2.4.1.-
|
| Pathway |
| rn00524 | Neomycin, kanamycin and gentamicin biosynthesis |
| rn01110 | Biosynthesis of secondary metabolites |
|
| Brite |
Enzymatic reactions [BR:br08201]
2. Transferase reactions
2.4 Glycosyltransferases
2.4.1 Hexosyltransferases
2.4.1.-
R11282 UDP-N-acetyl-alpha-D-glucosamine + 5-Ribosylparomamine <=> UDP + 2'''-N-Acetyl-6'''-deamino-6'''-hydroxyparomomycin II
|
| Orthology |
| K20582 | N-acetylglucosaminyltransferase [EC:2.4.1.-] |
|
| Reference |
|
| Authors |
Clausnitzer D, Piepersberg W, Wehmeier UF |
| Title |
The oxidoreductases LivQ and NeoQ are responsible for the different 6'-modifications in the aminoglycosides lividomycin and neomycin. |
| Journal |
|
| LinkDB |
|