| Entry |
|
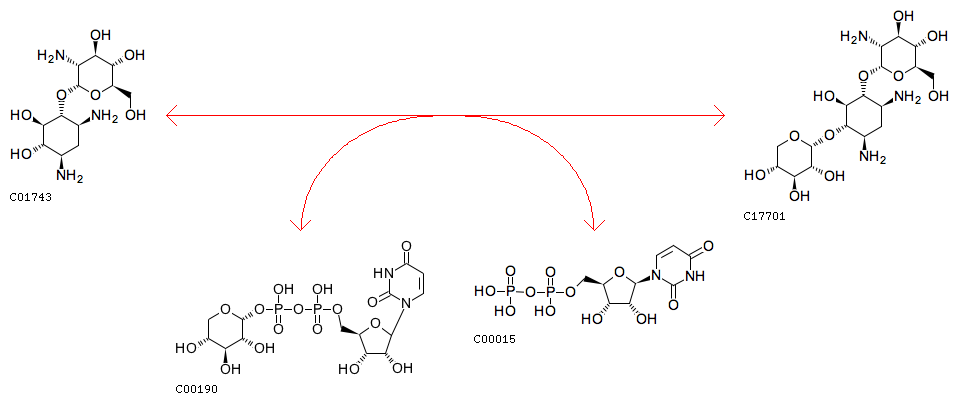
| Name |
UDP-D-xylose:paromamine alpha-D-xylosyltransferase
|
| Definition |
UDP-D-xylose + Paromamine <=> UDP + Gentamicin A2
|
| Equation |
|
|
 |
| Reaction class |
|
| Enzyme |
2.4.2.-
|
| Pathway |
| rn00524 | Neomycin, kanamycin and gentamicin biosynthesis |
| rn01110 | Biosynthesis of secondary metabolites |
|
| Brite |
Enzymatic reactions [BR:br08201]
2. Transferase reactions
2.4 Glycosyltransferases
2.4.2 Pentosyltransferases
2.4.2.-
R11289 UDP-D-xylose + Paromamine <=> UDP + Gentamicin A2
|
| Orthology |
| K20589 | paromamine D-xylosyltransferase [EC:2.4.2.-] |
|
| LinkDB |
|