KEGG   REACTION: R11307
Entry
R11307                      Reaction                               
Definition
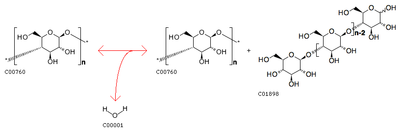
Cellulose + H2O <=> Cellulose + Cellodextrin
Equation
Enzyme
Pathway
rn00500  Starch and sucrose metabolism
rn01100  Metabolic pathways
Brite
Enzymatic reactions [BR:br08201]
 3. Hydrolase reactions
  3.2  Glycosylases
   3.2.1  Glycosidases, i.e. enzymes that hydrolyse O- and S-glycosyl compounds
    3.2.1.4
     R11307  Cellulose + H2O <=> Cellulose + Cellodextrin
Orthology
K01179  endoglucanase [EC:3.2.1.4]
K19357  cellulase [EC:3.2.1.4]
LinkDB

DBGET integrated database retrieval system