KEGG   REACTION: R11362
Entry
R11362                      Reaction                               
Definition
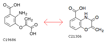
3-(1-Carboxyvinyloxy)anthranilate <=> 3,4-Dihydro-2-methylene-3-oxo-2H-1,4-benzoxazine-5-carboxylate
Equation
Comment
unclear reaction
incomplete reaction
Reaction class
RC03428  C19686_C21306
Pathway
rn01059  Biosynthesis of enediyne antibiotics
rn01100  Metabolic pathways
rn01110  Biosynthesis of secondary metabolites
Module
M00826  C-1027 benzoxazolinate moiety biosynthesis, chorismate => benzoxazolinyl-CoA
Orthology
K21176  benzoxazolinate moiety biosynthesis protein SgcD5
LinkDB

DBGET integrated database retrieval system