KEGG   REACTION: R11396
Entry
R11396                      Reaction                               
Name
CTP:8-amino-3,8-dideoxy-D-manno-octulosonate cytidylyltransferase
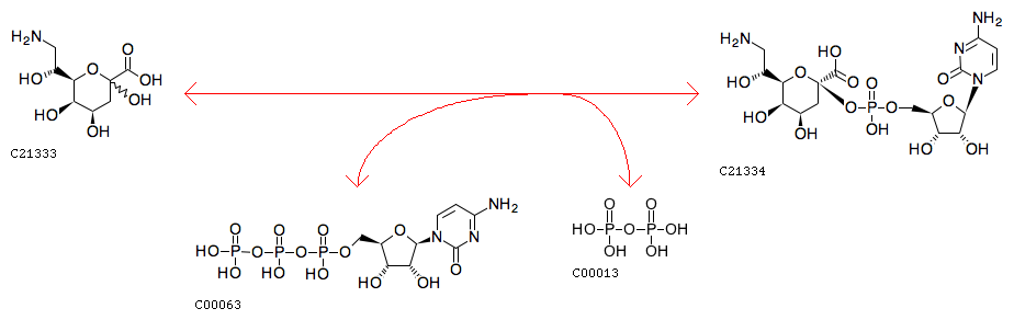
Definition
CTP + 8-Amino-3,8-dideoxy-D-manno-octulosonate <=> Diphosphate + CMP-8-amino-3,8-dideoxy-beta-D-manno-octulosonate
Equation
Reaction class
RC00152  C21333_C21334
Enzyme
Brite
Enzymatic reactions [BR:br08201]
 2. Transferase reactions
  2.7  Transferring phosphorus-containing groups
   2.7.7  Nucleotidyltransferases
    2.7.7.90
     R11396  CTP + 8-Amino-3,8-dideoxy-D-manno-octulosonate <=> Diphosphate + CMP-8-amino-3,8-dideoxy-beta-D-manno-octulosonate
Orthology
K00979  3-deoxy-manno-octulosonate cytidylyltransferase (CMP-KDO synthetase) [EC:2.7.7.38]
LinkDB

DBGET integrated database retrieval system