KEGG   REACTION: R11397
Entry
R11397                      Reaction                               
Name
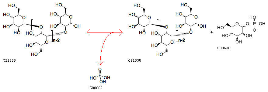
(1->2)-beta-D-mannan:phosphate beta-D-mannosyltransferase (conformation-inverting)
Definition
1,2-beta-Oligomannan(n) + Orthophosphate <=> 1,2-beta-Oligomannan(n-1) + D-Mannose 1-phosphate
Equation
C21335(n) + C00009 <=> C21335(n-1) + C00636
Reaction class
RC02748  C00636_C21335
Enzyme
Brite
Enzymatic reactions [BR:br08201]
 2. Transferase reactions
  2.4  Glycosyltransferases
   2.4.1  Hexosyltransferases
    2.4.1.340
     R11397  1,2-beta-Oligomannan(n) + Orthophosphate <=> 1,2-beta-Oligomannan(n-1) + D-Mannose 1-phosphate
Orthology
K20885  beta-1,2-mannobiose phosphorylase / 1,2-beta-oligomannan phosphorylase [EC:2.4.1.339 2.4.1.340]
Other DBs
RHEA: 49411
LinkDB

DBGET integrated database retrieval system