KEGG   REACTION: R11402
Entry
R11402                      Reaction                               
Name
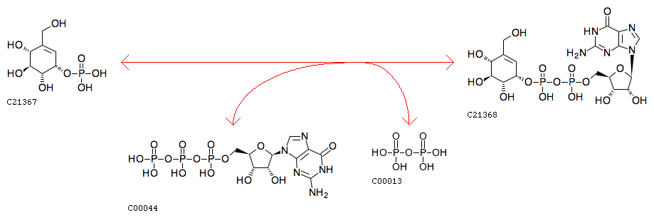
GTP:valienol-1-phosphate guanylyltransferase
Definition
GTP + Valienol 1-phosphate <=> Diphosphate + GDP-valienol
Equation
Reaction class
RC00002  C21367_C21368
Enzyme
Pathway
rn00525  Acarbose and validamycin biosynthesis
rn01110  Biosynthesis of secondary metabolites
Brite
Enzymatic reactions [BR:br08201]
 2. Transferase reactions
  2.7  Transferring phosphorus-containing groups
   2.7.7  Nucleotidyltransferases
    2.7.7.91
     R11402  GTP + Valienol 1-phosphate <=> Diphosphate + GDP-valienol
Orthology
K20427  valienol-1-phosphate guanylyltransferase [EC:2.7.7.91]
Other DBs
RHEA: 26058
LinkDB

DBGET integrated database retrieval system