REACTION: R11426
Help
Entry
R11426 Reaction
Name
(2S)-flavan-3-ol:NADP+ oxidoreductase
Definition
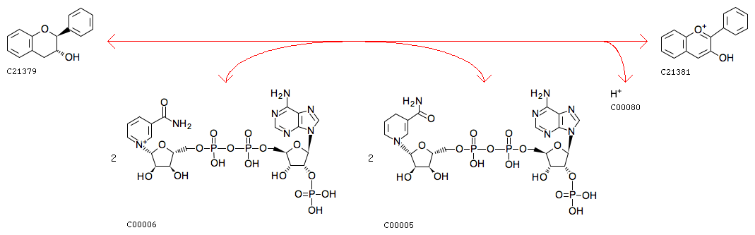
(2S,3R)-Flavan-3-ol + 2 NADP+ <=> Anthocyanidin with a 3-hydroxy group + 2 NADPH + H+
Equation
C21379
+ 2
C00006
<=>
C21381
+ 2
C00005
+
C00080
Reaction class
RC01553
C21379_C21381
Enzyme
1.3.1.112
Brite
Enzymatic reactions [BR:
br08201
]
1. Oxidoreductase reactions
1.3 Acting on the CH-CH group of donors
1.3.1 With NAD+ or NADP+ as acceptor
1.3.1.112
R11426 (2S,3R)-Flavan-3-ol + 2 NADP+ <=> Anthocyanidin with a 3-hydroxy group + 2 NADPH + H+
BRITE hierarchy
Other DBs
RHEA:
51419
LinkDB
All DBs
DBGET
integrated database retrieval system