| Entry |  | 
|---|
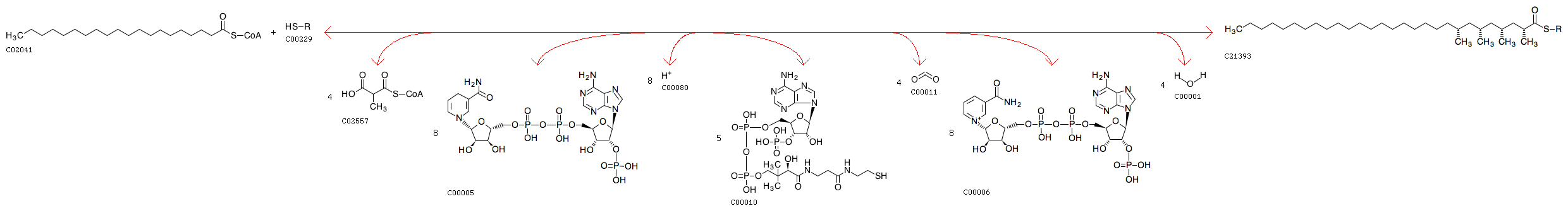
| Name | eicosanoyl-CoA:methylmalonyl-CoA C-acyltransferase (mycocerosate-forming)
 | 
|---|
| Definition | Eicosanoyl-CoA + 4 Methylmalonyl-CoA + 8 NADPH + 8 H+ + Acyl-carrier protein <=> C32-Mycocerosyl-[acp] + 5 CoA + 4 CO2 + 8 NADP+ + 4 H2O
 | 
|---|
| Equation |  | 
|---|
|  |  | 
|---|
| Comment | Acy-carrier protein is acp domain of the enzyme itself [KO:K11628 ].
 | 
|---|
| Reaction class |  | 
|---|
| Enzyme |  | 
|---|
| Brite | Enzymatic reactions [BR:br08201]2. Transferase reactions
 2.3  Acyltransferases
 2.3.1  Transferring groups other than aminoacyl groups
 2.3.1.111
 R11450  Eicosanoyl-CoA + 4 Methylmalonyl-CoA + 8 NADPH + 8 H+ + Acyl-carrier protein <=> C32-Mycocerosyl-[acp] + 5 CoA + 4 CO2 + 8 NADP+ + 4 H2O
 
 | 
|---|
| Orthology |  | 
|---|
| LinkDB |  | 
|---|