KEGG   REACTION: R11456
Entry
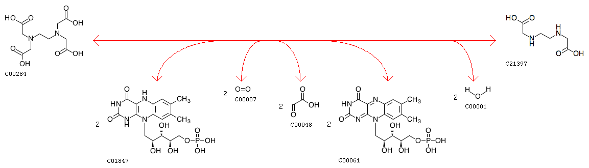
R11456                      Reaction                               
Name
ethylenediaminetetraacetate,FMNH2:O2 oxidoreductase (glyoxylate-forming)
Definition
EDTA + 2 Reduced FMN + 2 Oxygen <=> Ethylenediamine-N,N'-diacetic acid + 2 Glyoxylate + 2 FMN + 2 H2O
Equation
C00284 + 2 C01847 + 2 C00007 <=> C21397 + 2 C00048 + 2 C00061 + 2 C00001
Comment
two-step reaction (see R11454+R11455)
Reaction class
RC03441  C00284_C21397
Enzyme
Brite
Enzymatic reactions [BR:br08201]
 1. Oxidoreductase reactions
  1.14  Acting on paired donors, with incorporation or reduction of molecular oxygen
   1.14.14  With reduced flavin or flavoprotein as one donor, and incorporation of one atom of oxygen into the other donor
    1.14.14.33
     R11456  EDTA + 2 Reduced FMN + 2 Oxygen <=> Ethylenediamine-N,N'-diacetic acid + 2 Glyoxylate + 2 FMN + 2 H2O
Other DBs
RHEA: 40990
LinkDB

DBGET integrated database retrieval system