KEGG   REACTION: R11477
Entry
R11477                      Reaction                               
Name
tert-amyl alcohol,NADPH:oxygen oxidoreductase (1,2-dehydrogenating)
Definition
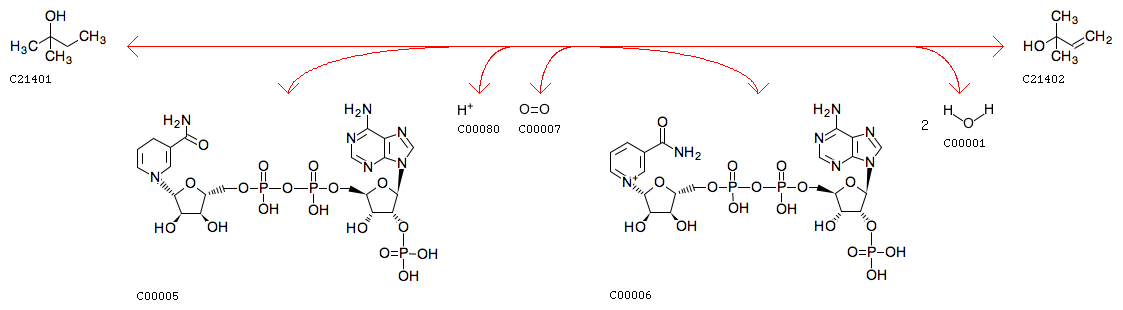
tert-Amyl alcohol + NADPH + H+ + Oxygen <=> Isoprenyl alcohol + NADP+ + 2 H2O
Equation
Reaction class
RC03448  C21401_C21402
Enzyme
Brite
Enzymatic reactions [BR:br08201]
 1. Oxidoreductase reactions
  1.14  Acting on paired donors, with incorporation or reduction of molecular oxygen
   1.14.19  With oxidation of a pair of donors resulting in the reduction of O2 to two molecules of water
    1.14.19.48
     R11477  tert-Amyl alcohol + NADPH + H+ + Oxygen <=> Isoprenyl alcohol + NADP+ + 2 H2O
Other DBs
RHEA: 50371
LinkDB

DBGET integrated database retrieval system