Entry |
|
Name |
6-sulfo-alpha-D-quinovosyl diacylglycerol 6-sulfo-D-quinovohydrolase (configuration-retaining)
|
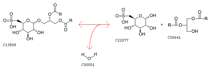
Definition |
Sulfoquinovosyldiacylglycerol + H2O <=> 6-Sulfo-alpha-D-quinovose + 1,2-Diacyl-sn-glycerol
|
Equation |
|
|
 |
Reaction class |
|
Enzyme |
|
Brite |
Enzymatic reactions [BR:br08201]
3. Hydrolase reactions
3.2 Glycosylases
3.2.1 Glycosidases, i.e. enzymes that hydrolyse O- and S-glycosyl compounds
3.2.1.199
R11543 Sulfoquinovosyldiacylglycerol + H2O <=> 6-Sulfo-alpha-D-quinovose + 1,2-Diacyl-sn-glycerol
|
Orthology |
|
Other DBs |
|
LinkDB |
|