KEGG   REACTION: R11616
Entry
R11616                      Reaction                               
Name
malonyl-CoA:4-hydroxybenzoyl-[4-hydroxyphenylalkanoate synthase] malonyltransferase (4-hydroxyphenylalkanoate-forming)
Definition
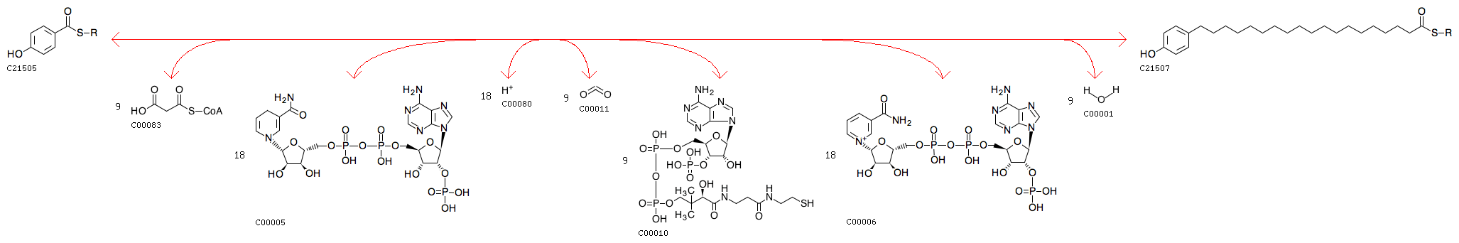
4-Hydroxybenzoyl-[acp] + 9 Malonyl-CoA + 18 NADPH + 18 H+ <=> 19-(4-Hydroxyphenyl)nonadecanoyl-[acp] + 9 CO2 + 9 CoA + 18 NADP+ + 9 H2O
Equation
C21505 + 9 C00083 + 18 C00005 + 18 C00080 <=> C21507 + 9 C00011 + 9 C00010 + 18 C00006 + 9 C00001
Enzyme
Brite
Enzymatic reactions [BR:br08201]
 2. Transferase reactions
  2.3  Acyltransferases
   2.3.1  Transferring groups other than aminoacyl groups
    2.3.1.261
     R11616  4-Hydroxybenzoyl-[acp] + 9 Malonyl-CoA + 18 NADPH + 18 H+ <=> 19-(4-Hydroxyphenyl)nonadecanoyl-[acp] + 9 CO2 + 9 CoA + 18 NADP+ + 9 H2O
Orthology
K12430  4-hydroxyphenylalkanoate synthase [EC:2.3.1.261]
Other DBs
RHEA: 50471
LinkDB

DBGET integrated database retrieval system