| Entry |
|
| Name |
jasmonoyl-L amino acid amidohydrolase
|
| Definition |
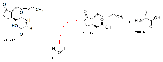
Jasmonoyl-L-amino acid + H2O <=> (-)-Jasmonic acid + L-Amino acid
|
| Equation |
|
|
 |
| Reaction class |
|
| Enzyme |
|
| Brite |
Enzymatic reactions [BR:br08201]
3. Hydrolase reactions
3.5 Acting on carbon-nitrogen bonds, other than peptide bonds
3.5.1 In linear amides
3.5.1.127
R11622 Jasmonoyl-L-amino acid + H2O <=> (-)-Jasmonic acid + L-Amino acid
|
| Orthology |
|
| Other DBs |
|
| LinkDB |
|