REACTION: R11708
Help
Entry
R11708 Reaction
Name
acetyl-CoA:3-phosphonopyruvate C-acetyltransferase
Definition
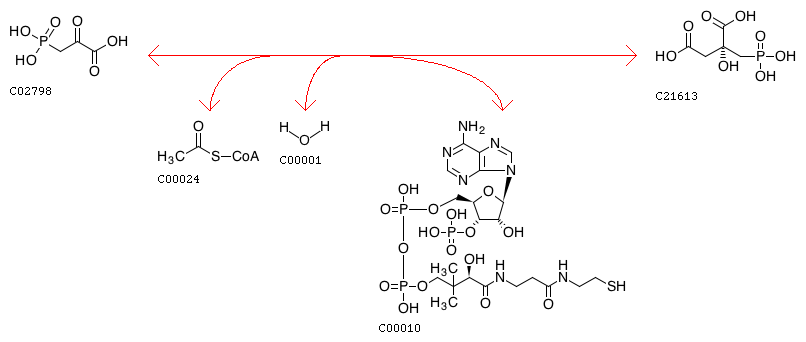
Acetyl-CoA + H2O + 3-Phosphonopyruvate <=> (R)-2-(Phosphonomethyl)malate + CoA
Equation
C00024
+
C00001
+
C02798
<=>
C21613
+
C00010
Reaction class
RC00004
C00010_C00024
RC00067
C02798_C21613
Enzyme
2.3.3.19
Pathway
rn00440
Phosphonate and phosphinate metabolism
Brite
Enzymatic reactions [BR:
br08201
]
2. Transferase reactions
2.3 Acyltransferases
2.3.3 Acyl groups converted into alkyl groups on transfer
2.3.3.19
R11708 Acetyl-CoA + H2O + 3-Phosphonopyruvate <=> (R)-2-(Phosphonomethyl)malate + CoA
BRITE hierarchy
Orthology
K21934
2-phosphonomethylmalate synthase [EC:
2.3.3.19
]
Other DBs
RHEA:
52147
LinkDB
All DBs
DBGET
integrated database retrieval system