KEGG   REACTION: R11737
Entry
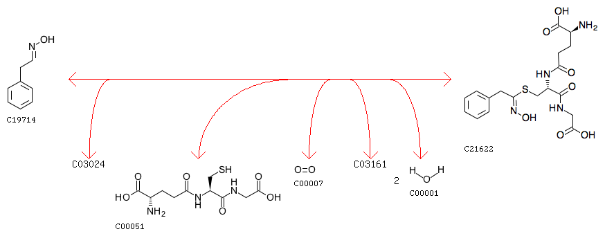
R11737                      Reaction                               
Name
(E)-phenylacetaldehyde oxime,[reduced NADPH---hemoprotein reductase],glutathione:oxygen oxidoreductase (oxime-hydroxylating)
Definition
(E)-Phenylacetaldoxime + [Reduced NADPH---hemoprotein reductase] + Glutathione + Oxygen <=> S-[(Z)-N-Hydroxy(phenyl)acetimidoyl]-L-glutathione + [Oxidized NADPH---hemoprotein reductase] + 2 H2O
Equation
Comment
two-step reaction (see R11738+R11739)
Reaction class
RC02210  C19714_C21622
Enzyme
Brite
Enzymatic reactions [BR:br08201]
 1. Oxidoreductase reactions
  1.14  Acting on paired donors, with incorporation or reduction of molecular oxygen
   1.14.14  With reduced flavin or flavoprotein as one donor, and incorporation of one atom of oxygen into the other donor
    1.14.14.45
     R11737  (E)-Phenylacetaldoxime + [Reduced NADPH---hemoprotein reductase] + Glutathione + Oxygen <=> S-[(Z)-N-Hydroxy(phenyl)acetimidoyl]-L-glutathione + [Oxidized NADPH---hemoprotein reductase] + 2 H2O
Other DBs
RHEA: 52195
LinkDB

DBGET integrated database retrieval system