| Entry |
|
| Name |
1,3-alpha-isomaltohydrolase (configuration-retaining)
|
| Definition |
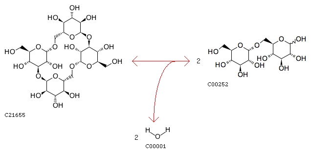
Cyclobis-1,6-alpha-nigerosyl + 2 H2O <=> 2 Isomaltose
|
| Equation |
|
|
 |
| Comment |
|
| Enzyme |
|
| Brite |
Enzymatic reactions [BR:br08201]
3. Hydrolase reactions
3.2 Glycosylases
3.2.1 Glycosidases, i.e. enzymes that hydrolyse O- and S-glycosyl compounds
3.2.1.204
R11788 Cyclobis-1,6-alpha-nigerosyl + 2 H2O <=> 2 Isomaltose
|
| Orthology |
|
| Other DBs |
|
| LinkDB |
|