KEGG   REACTION: R11959
Entry
R11959                      Reaction                               
Name
2-O-(alpha-D-glucopyranosyl)-D-glycerate:phosphate alpha-D-glucosyltransferase (configuration-retaining)
Definition
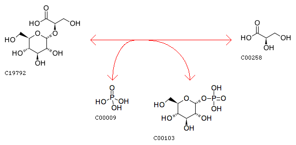
2-O-(alpha-D-Glucopyranosyl)-D-glycerate + Orthophosphate <=> D-Glucose 1-phosphate + D-Glycerate
Equation
Reaction class
RC00397  C00258_C19792
Enzyme
Brite
Enzymatic reactions [BR:br08201]
 2. Transferase reactions
  2.4  Glycosyltransferases
   2.4.1  Hexosyltransferases
    2.4.1.352
     R11959  2-O-(alpha-D-Glucopyranosyl)-D-glycerate + Orthophosphate <=> D-Glucose 1-phosphate + D-Glycerate
Orthology
K22597  glucosylglycerate phosphorylase [EC:2.4.1.352]
LinkDB

DBGET integrated database retrieval system