KEGG   REACTION: R11997
Entry
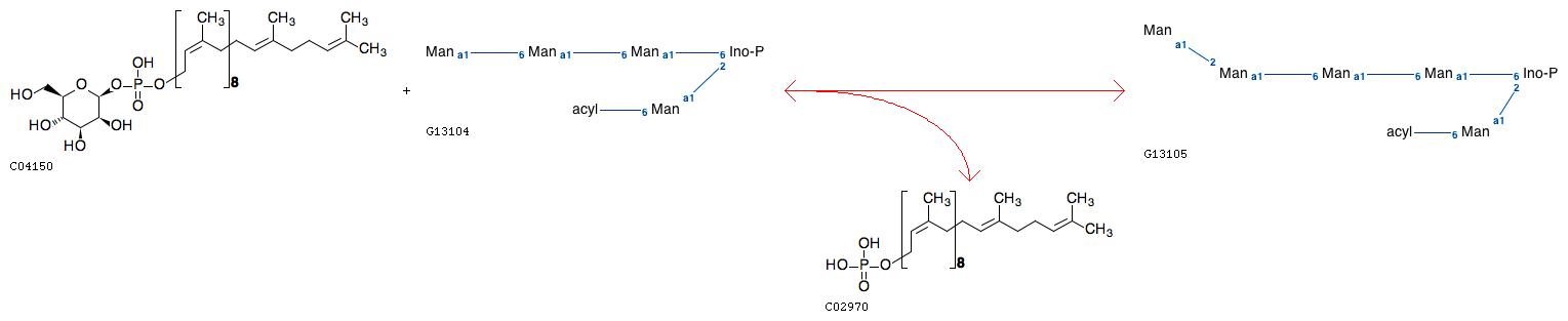
R11997                      Reaction                               
Definition
beta-D-Mannosylphosphodecaprenol + Triacylated phosphatidyl-myo-inositol tetramannoside <=> Decaprenol phosphate + Triacylated phosphatidyl-myo-inositol pentamannoside
Equation
Enzyme
2.4.1.-
Pathway
rn00571  Lipoarabinomannan (LAM) biosynthesis
rn01100  Metabolic pathways
Brite
Enzymatic reactions [BR:br08201]
 2. Transferase reactions
  2.4  Glycosyltransferases
   2.4.1  Hexosyltransferases
    2.4.1.-
     R11997  beta-D-Mannosylphosphodecaprenol + Triacylated phosphatidyl-myo-inositol tetramannoside <=> Decaprenol phosphate + Triacylated phosphatidyl-myo-inositol pentamannoside
Glycosyltransferase reactions [br08203.html]
 Mannosyltransferase reactions
  R11997
Orthology
K13669  alpha-1,2-mannosyltransferase [EC:2.4.1.-]
LinkDB

DBGET integrated database retrieval system