KEGG   REACTION: R12013
Entry
R12013                      Reaction                               
Name
4-hydroxybenzoate:NADPH oxidoreductase (brominating, decarboxylating)
Definition
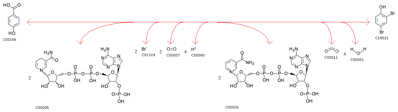
4-Hydroxybenzoate + 2 NADPH + 2 Bromide + 2 Oxygen + 4 H+ <=> 2,4-Dibromophenol + 2 NADP+ + CO2 + 4 H2O
Equation
C00156 + 2 C00005 + 2 C01324 + 2 C00007 + 4 C00080 <=> C14521 + 2 C00006 + C00011 + 4 C00001
Comment
two-step reaction (see R12015+R12016)
Enzyme
Brite
Enzymatic reactions [BR:br08201]
 1. Oxidoreductase reactions
  1.14  Acting on paired donors, with incorporation or reduction of molecular oxygen
   1.14.19  With oxidation of a pair of donors resulting in the reduction of O2 to two molecules of water
    1.14.19.55
     R12013  4-Hydroxybenzoate + 2 NADPH + 2 Bromide + 2 Oxygen + 4 H+ <=> 2,4-Dibromophenol + 2 NADP+ + CO2 + 4 H2O
Other DBs
RHEA: 56351
LinkDB

DBGET integrated database retrieval system